2º bachiller Ciencias Sociales

IES "Sierra de las Villas". Villacarrillo _______________Profesor: SEBASTIÁN MUNUERA

Inicio

  • Inicio

viernes, 13 de diciembre de 2019

Ejercicios para el lunes, 16 de diciembre

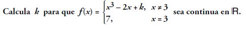
1.-

2.- 
3.-
4.- 
Publicado por Sebastián Munuera en 22:00
Enviar por correo electrónicoEscribe un blogCompartir en XCompartir con FacebookCompartir en Pinterest

No hay comentarios:

Publicar un comentario

Entrada más reciente Entrada antigua Inicio
Suscribirse a: Enviar comentarios (Atom)

Archivo del blog

  • ►  2020 (153)
    • ►  julio (7)
    • ►  junio (49)
    • ►  mayo (32)
    • ►  abril (21)
    • ►  marzo (31)
    • ►  febrero (6)
    • ►  enero (7)
  • ▼  2019 (16)
    • ▼  diciembre (6)
      • Ejercicios para jueves, 19 de diciembre
      • Ejercicios para el martes, 17 de diciembre.
      • Ejercicios para el lunes, 16 de diciembre
      • Ejercicios para el martes, 10 de diciembre
      • Ejercicios para el jueves, 5 de diciembre.
      • Ejercicios para el martes, 3 de diciembre.
    • ►  noviembre (4)
    • ►  octubre (4)
    • ►  septiembre (2)
Tema Fantástico, S.A.. Con la tecnología de Blogger.